Notices
2023+ Super Duty The 2023+ Ford F250, F350, F450, F550 & F600 Super Duty Pickup and Chassis Cab

2024 AC Failure tracking thread

Thread Tools
 
Search this Thread
 
Old Jun 20, 2024 | 02:16 PM
  #31  
Erik_S's Avatar
Erik_S
1st Gear
Joined: Jun 2024
Posts: 1
Likes: 1
Add me to the list

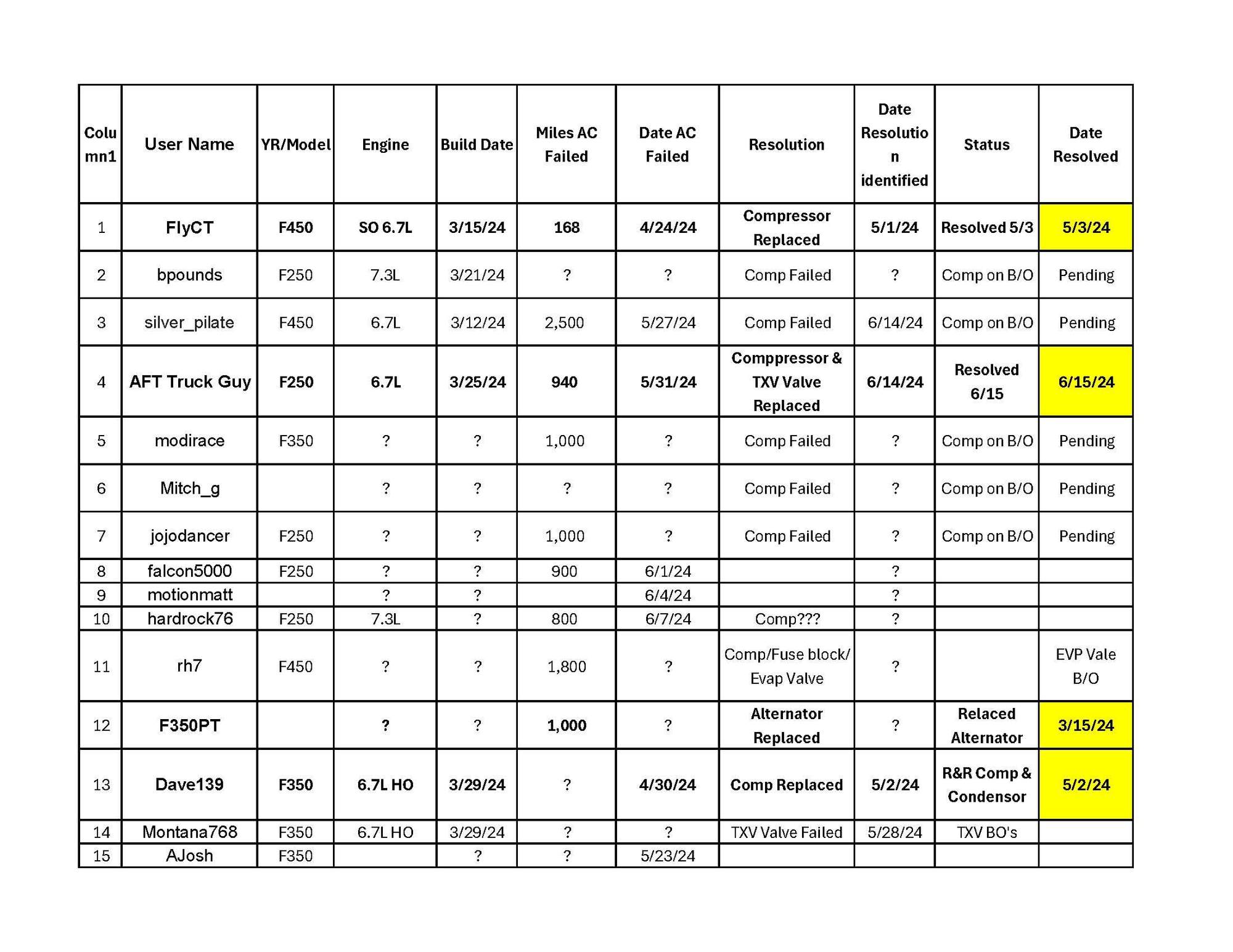
[QUOTE=Flyct;21255719]THE LIST IS GROWING.

UPDATED 6/20/24

As of 6/20/24 we are up to 31 reported AC Failures only on this Forum. And only 7 of the 31 have been reported as repaired.


If you had a 2024 Super Duty delivered with early AC Failure please report details here. That way we can track the problem
I’ll put a spreadsheet together and will update it on this posting as members report. Some were pulled from other threads and postings on this forum

Post the following:
  • Model, Trim & Engine
  • Manufacture Date
  • Odometer miles & Date when it failed
  • fix date and resolution
I’ll start

2024 F-450 Platinum SO Diesel
3/15/24 manufacture date



168 Odometer miles and 4/23/24 when AC failed
Compressor replaced 5/3/24




Erik_S
F-250 Lariat 6.7 SO
build date 4-4-24
Purchase date: 5-29-24
COMP failure date: 6-18-24 at 1,100 miles
Status: Back order
 
Reply
Old Jun 20, 2024 | 02:43 PM
  #32  
5picker's Avatar
5picker
Mountain Pass
Liked
Loved
Community Favorite
Top Answer: 1
Joined: Apr 2024
Posts: 186
Likes: 122
From: SW PA
Originally Posted by Flyct
THE LIST IS GROWING.

UPDATED 6/20/24

As of 6/20/24 we are up to 31 reported AC Failures only on this Forum. And only 7 of the 31 have been reported as repaired.


If you had a 2024 Super Duty delivered with early AC Failure please report details here. That way we can track the problem
I’ll put a spreadsheet together and will update it on this posting as members report. Some were pulled from other threads and postings on this forum
I see some engine type slots in the spreadsheet are blank (?) but there's certainly a bigger number of 6.7s on the list than others. Do they use a different compressor?
 
Reply
Old Jun 20, 2024 | 07:02 PM
  #33  
Flyct's Avatar
Flyct
Thread Starter
|
FTE Community Team
Veteran: Air Force
Liked
Loved
Community Favorite
Joined: Mar 2017
Posts: 3,339
Likes: 1,052
From: Florida
Club FTE Silver Member

Originally Posted by 5picker
I see some engine type slots in the spreadsheet are blank (?) but there's certainly a bigger number of 6.7s on the list than others. Do they use a different compressor?
Not all entries were provided with engine, model etc. I put entered all the info I could find.

Good question about compressors being same or /different on each engine.

My 6.7L 2024 took a COMP Part Number LC3Z-19703-G on the repair invoice.



My 6.7L SO
 
Reply
Old Jun 20, 2024 | 08:22 PM
  #34  
tmthunder's Avatar
tmthunder
Cross-Country
Joined: Dec 2014
Posts: 54
Likes: 16
Well sadly I join the group today.....
2024 F350 Platinum Tremor 6.7HO
Build was first week of March 24' took delivery 1APR24
2200 miles on the clock north on 95 in 95+ degree temps this afternoon it started blowing hot air and the cooled seat was also blowing warm air.
Contacted my sales guy to let him know as it was after hours. Will call the service department tomorrow morning. Best part is I was in the service department today showing them the loud noise from my wireless charging pad. Less than an hour later A/C was gone....
Brian
 
Reply
Old Jun 20, 2024 | 09:02 PM
  #35  
Flyct's Avatar
Flyct
Thread Starter
|
FTE Community Team
Veteran: Air Force
Liked
Loved
Community Favorite
Joined: Mar 2017
Posts: 3,339
Likes: 1,052
From: Florida
Club FTE Silver Member

EVERYIONE:
PLEASE POST AND UPDATE WHEN WHEN EITHER DIAGNOSED OR REPAIRED. I WILL UPDATE THE SPREADSHEET THE INFO.
THANKS
Flyct "Jerry"
 
Reply
Old Jun 20, 2024 | 09:22 PM
  #36  
Creditcardguy's Avatar
Creditcardguy
Cross-Country
Liked
Loved
Community Favorite
Joined: Oct 2023
Posts: 62
Likes: 34
Originally Posted by Flyct
Not all entries were provided with engine, model etc. I put entered all the info I could find.

Good question about compressors being same or /different on each engine.

My 6.7L 2024 took a COMP Part Number LC3Z-19703-G on the repair invoice.



My 6.7L SO
Weird thing is you can buy this part right now on oemfordpartsdirect.com. Also at numerous Ford dealerships via Google.
 
Reply
Old Jun 20, 2024 | 09:39 PM
  #37  
Flyct's Avatar
Flyct
Thread Starter
|
FTE Community Team
Veteran: Air Force
Liked
Loved
Community Favorite
Joined: Mar 2017
Posts: 3,339
Likes: 1,052
From: Florida
Club FTE Silver Member

Originally Posted by Creditcardguy
Weird thing is you can buy this part right now on oemfordpartsdirect.com. Also at numerous Ford dealerships via Google.
I think you will find that the order will be cancelled after ordering.

I ordered a part for my Lightning that was back ordered per my dealer yet it showed available online. Wen I ordered it online the dealer requested my VIN Number for Ford to release the part. 3 days later they cancelled the order per Ford that it was not available for customer purchase due to multiple dealer backorders.
 
Reply
Old Jun 20, 2024 | 10:31 PM
  #38  
st_lduncan's Avatar
st_lduncan
3rd Gear
Joined: Jun 2024
Posts: 3
Likes: 0
Originally Posted by tmthunder
Well sadly I join the group today.....
2024 F350 Platinum Tremor 6.7HO
Build was first week of March 24' took delivery 1APR24
2200 miles on the clock north on 95 in 95+ degree temps this afternoon it started blowing hot air and the cooled seat was also blowing warm air.
Contacted my sales guy to let him know as it was after hours. Will call the service department tomorrow morning. Best part is I was in the service department today showing them the loud noise from my wireless charging pad. Less than an hour later A/C was gone....
Brian

I also have the Lariat Tremor package and my a/c cooled seats quit cooling when the a/c started blowing hot air as well.
 
Reply
FTE Stories

Ford Trucks for Ford Truck Enthusiasts

story-0

Top 10 Most Expensive Ford Trucks Ever Sold on Bring a Trailer

 Joe Kucinski
story-1

2027 Ford Super Duty Buyer's Guide (Every Model, Engine, & Package)

 Brett Foote
story-2

Top 10 Ford Truck Tragedies

 Joe Kucinski
story-3

AEV FXL Super Duty - the Super Duty Raptor Ford Doesn't Make

 Brett Foote
story-4

Lobo Vs Lobo: Proof the F-150 Lobo Should Be Even Lower!

 Michael S. Palmer
story-5

Ford's 2001 Explorer Sportsman Concept Looks For a New Home

 Verdad Gallardo
story-6

10 Best Ford Truck Engines We Miss the Most!

 Joe Kucinski
story-7

2026 Shelby F-150 Off-Road: Better Than a Raptor R?

 Brett Foote
story-8

2027 Super Duty Carhartt Package First Look: 12 Things You NEED to Know!

 Michael S. Palmer
story-9

10 Most Surprising 2026 Ford Truck Features!

 Joe Kucinski
Old Jun 21, 2024 | 04:07 AM
  #39  
Zixxer's Avatar
Zixxer
Tuned
15 Year Member
Liked
Loved
Community Favorite
Joined: Jul 2006
Posts: 387
Likes: 173
From: Stafford, VA
Originally Posted by Flyct
Not all entries were provided with engine, model etc. I put entered all the info I could find.

Good question about compressors being same or /different on each engine.

My 6.7L 2024 took a COMP Part Number LC3Z-19703-G on the repair invoice.



My 6.7L SO
only for 6.7. I remember looking and asking as I was trying to find sources. Same compressor goes back to 2020.
 
Reply
Old Jun 21, 2024 | 10:07 AM
  #40  
rstuart33's Avatar
rstuart33
1st Gear
Joined: Jun 2024
Posts: 1
Likes: 0
2024 F450 Lariat Pickup

2024 F450 Lariat Pickup 6.7L HO build date 4/24/24

Purchased 6/11/24 drove 685 miles that day without issue, next morning hot air only from truck. Taken to dealer next day at 732 miles. Told compressor is shot and no eta, multiple on order with our dealer.

We have 11 of these trucks in our fleet and this is the first issue of it, but my dealer is saying we are 3,978 in line for a back ordered compressor and swapping an aftermarket one in will permanently void that portion of the warranty.



[QUOTE=Flyct;21255719]THE LIST IS GROWING.

UPDATED 6/20/24

As of 6/20/24 we are up to 33 reported AC Failures only on this Forum. And only 7 of the 33 have been reported as repaired.


If you had a 2024 Super Duty delivered with early AC Failure please report details here. That way we can track the problem
I’ll put a spreadsheet together and will update it on this posting as members report. Some were pulled from other threads and postings on this forum

Post the following:
  • Model, Trim & Engine
  • Manufacture Date
  • Odometer miles & Date when it failed
  • fix date and resolution
I’ll start

2024 F-450 Platinum SO Diesel
3/15/24 manufacture
 
Reply
Old Jun 21, 2024 | 10:24 AM
  #41  
falcon5000's Avatar
falcon5000
Trailering
Joined: Jun 2024
Posts: 23
Likes: 18
my f250 2024 died 930 miles

Just to give you a heads up my 2024 F250 died at roughly around 930 MI for the air condition, it's been sitting here since with no parts available and 103° heat index weather. It was at the dealership on June 3 when they found the system had failed and sent metal shavings through the system. So it's been sitting in my driveway since June 3rd I use my backup vehicle to go back and forth to work I'm trying to see if they'll give me a loaner now and cuz they said no end in sight. I contacted customer service as well even on the 18th of June, and no Parts yet inside I too am waiting for thermal expansion valve and the low suction hose, also the compressor they gave me is basically like the one they pulled out so is that going to fail in another Thousand Miles I don't know. Right now I'm trying to figure out another mode of transportation and I just caught up to dealership today and they're going to try to get me into a rental vehicle probably next week. The dealership has been very helpful for me and they've been working really good but they can't get parts and it's not the dealerships fault they have done a lot for me. The truck was ordered through the dealership and sent directly from Kentucky to the dealership when I took possession of it. It sat on the lot in Kentucky after production for 30 days to undergo quality inspections only to last a very short time. So much for the quality inspections, even when I first got the vehicle I was complaining about sounded like a bearing was going bad on something which I was wondering if it was a compressor ironically the compressor was shot. I hope that the compressor they give me is not going to be the same quality as the last one and I'll be back in the dealership for the second one down the road. Ford really needs to address this problem as quickly as possible but you know how that goes. They've already started running customers away from where I work at. And we use a lot of Ford trucks at work. Oh well what can you do, I wish everybody gets here is fixed quickly as well as myself good luck everybody. I might guess I'm in for the Long Haul.
F250 XL off road and towing package, ordered from Louisville ky plant
 
Reply
Old Jun 21, 2024 | 01:48 PM
  #42  
kylant's Avatar
kylant
Fleet Mechanic
Joined: Sep 2016
Posts: 1,613
Likes: 156
from the spreadsheet above, it looks like most of the failures have build dates of earlier this year🤷🏻‍♂️
 
Reply
Old Jun 21, 2024 | 03:51 PM
  #43  
Jzjo's Avatar
Jzjo
6th Gear
Joined: Jun 2024
Posts: 6
Likes: 7
Add me too

Originally Posted by Flyct
THE LIST IS GROWING.

UPDATED 6/20/24

As of 6/20/24 we are up to 33 reported AC Failures only on this Forum. And only 7 of the 33 have been reported as repaired.


If you had a 2024 Super Duty delivered with early AC Failure please report details here. That way we can track the problem
I’ll put a spreadsheet together and will update it on this posting as members report. Some were pulled from other threads and postings on this forum

Post the following:
  • Model, Trim & Engine
  • Manufacture Date
  • Odometer miles & Date when it failed
  • fix date and resolution
I’ll start

2024 F-450 Platinum SO Diesel
3/15/24 manufacture date



168 Odometer miles and 4/23/24 when AC failed
Compressor replaced 5/3/24





2024 Lariat 6.7 SO F250
AC failed at around 5k miles on 6/11/24
same symptoms as everyone else. Dealer said system passed all tests. Took it back 2 miles later.
compressor on back order. No ETA on delivery date.
Pissed
 
Reply
Old Jun 21, 2024 | 11:22 PM
  #44  
Jbeal's Avatar
Jbeal
2nd Gear
Joined: Jun 2024
Posts: 2
Likes: 0
Another Compressor failure

2024 f250 Lariat 6.7

Build Date 01/2024
Purchase Date 4-20-2024
Comp failure date 6-14-2024
4625 miles
Status: UPDATE: July 01 2024 Clutch Coil diag. Received Coil, installed, now intermittent goes warm and has to be unplugged and re-plugged in to work again for 20 minutes.

Scheduled truck to dealer to diagnose air conditioner issues. Diagnosis = failed compressor ordered parts for warranty replacement, dealer was told it was back ordered with no delivery date.
I called customer customer service. Talk to Parts and was told compressor was back ordered with no delivery date, asked for supervisor. Got the same story. Called customer service and spoke with level 1 entitled individual that told me I was unrealistic for being upset that my $75,000 truck was un-driveable for an undetermined amount of time. Very unhappy customer that may never buy another Ford. Level 1s Supervisor is supposed to return call with in 24 hours. We’ll see.
 

Last edited by Jbeal; Jul 1, 2024 at 09:13 PM.
Reply
Old Jun 22, 2024 | 07:07 AM
  #45  
oceanrace's Avatar
oceanrace
Mountain Pass
Liked
Loved
Community Favorite
Joined: Sep 2023
Posts: 223
Likes: 136
All this is very sobering. I was close to ordering a 2024 Superduty, and trade in my 2020 F150 but I think I am going to hold off and wait to see how this issue plays out. In deep south Texas a vehicle with no AC is completely miserable in the summer time.

The excessive use of plastic parts in these trucks is distressing. And the other manufacturers are just as bad if not worse. I have been a life long Ford guy the thought of driving an ugly Tundra or Tacoma turns my stomach.

This really makes me serious about trying to find a 1999 old body style crew cab, putting a cummins 12 valve in it, with a good MANUAL TRASMISSION, doing a restore, and that is actually the type of truck I really want. But they are making these any more.
 
Reply



All times are GMT -5. The time now is 12:53 PM.

story-0
Top 10 Most Expensive Ford Trucks Ever Sold on Bring a Trailer

Slideshow: 10 most expensive Ford trucks ever sold on Bring a Trailer.

By Joe Kucinski | 2026-05-27 16:24:34


VIEW MORE
story-1
2027 Ford Super Duty Buyer's Guide (Every Model, Engine, & Package)

Here's everything that has changed for the latest model year.

By Brett Foote | 2026-05-27 16:17:28


VIEW MORE
story-2
Top 10 Ford Truck Tragedies

Slideshow: Top 10 Ford truck tragedies.

By Joe Kucinski | 2026-05-18 19:34:33


VIEW MORE
story-3
AEV FXL Super Duty - the Super Duty Raptor Ford Doesn't Make

And it might be even better than that.

By Brett Foote | 2026-05-18 19:26:42


VIEW MORE
story-4
Lobo Vs Lobo: Proof the F-150 Lobo Should Be Even Lower!

Slideshow: Does lowering an F-150 Lobo RUIN the ride quality?

By Michael S. Palmer | 2026-05-18 19:20:37


VIEW MORE
story-5
Ford's 2001 Explorer Sportsman Concept Looks For a New Home

Slideshow: Ford's bizarre fishing-themed Explorer concept has resurfaced after spending decades largely forgotten.

By Verdad Gallardo | 2026-05-12 18:07:46


VIEW MORE
story-6
10 Best Ford Truck Engines We Miss the Most!

Slideshow: The 10 best Ford truck engines we miss the most.

By Joe Kucinski | 2026-05-12 13:09:47


VIEW MORE
story-7
2026 Shelby F-150 Off-Road: Better Than a Raptor R?

Slideshow: first look at the 810 hp 2026 Shelby F-150 Off-Road!

By Brett Foote | 2026-05-12 12:50:07


VIEW MORE
story-8
2027 Super Duty Carhartt Package First Look: 12 Things You NEED to Know!

Slideshow: Everything You Need to Know about the 2027 Super Duty Carhartt Package!

By Michael S. Palmer | 2026-05-07 17:51:06


VIEW MORE
story-9
10 Most Surprising 2026 Ford Truck Features!

Slideshow: 10 most surprising Ford truck options/features in 2026.

By Joe Kucinski | 2026-05-05 11:17:22


VIEW MORE